La Mojana – Manejo Integrado de la planicie Inundable

La Mojana es una región al norte de Colombia en donde predomina la siembra estacionaria en las planicies inundables, como principal uso del suelo. Debido a que las inundaciones no son drenadas, los daños en los cultivos son cada más frecuentes en comparación con los sistemas de manejo que existían -las de los indígenas (Aguilera, 2004). El manejo de la tierra de los indígenas era basado en terrazas y canales para prevenir las inundaciones. Pero durante la colonización las personas no mantuvieron estas estructuras lo cual ha llevado a que las dinámicas de flujos de agua sean distintas (Oritz, 2005). Resultado de mayores picos de descarga de agua por lluvias en la parte alta de la cuenca, ésta ha experimentado mayores y prolongados periodos de inundaciones, incluyendo la Majona. Anteriormente, estas planicies inundables estaban con agua por dos meses al año, ahora con periodos de inundaciones mucho más largos (sobre todo en los años 2010 y 2011) la pérdida de cultivos y la situación de los campesinos son una tragedia nacional (Vega, 2012).

Esta enorme región de 2.8 millones de hectárea recibe en promedio 7.139 m3 s-1 de agua (con sedimentos) de los principales ríos de Colombia: río Cesar, río Magdalena, río Cauca y río San Jorge- (Restrepo et al, 2005); como se muestra en la figura 1. Este delta interno tiene 950.000 habitantes y su principal uso del suelo es la agricultura y ganadería (DNP, 2011). Se encuentran diferentes ecosistemas y agro-ecosistemas con una alta biodiversidad: planicies inundables, humedales, pantanos, bosques tropicales y bosques secos. Los principales servicios ecosistémicos de la región son: ser sala cuna (lugar de reproducción y alimento) para los peces del Río Magdalena, debido a las especiales condiciones ecológicas (Galvis & Mojica, 2007); y la retención (por decantación) de sedimentos, ésta última es menos apreciada por el Gobierno Nacional.

Fig1
Fig 1. Ubicación de la Mojana (Restrepo, 2006b)

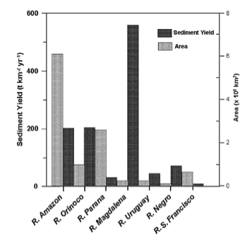
La situación de sedimentos en el Río Magdalena y sus tributarios es crítica, como puede observarse en la figura 2. El Río Magdalena tiene el mayor aporte de sedimentos de todos los ríos de Sur América (comparativamente). Alrededor de 550 T por cada Km2 al año (Restrepo et al, 2006a). Esto es alrededor de 3 veces la tasa del río Amazonas y el río Orinoco. El área de drenaje del Río Magdalena es de 200.000 km2, cuatro veces menor que la del Orinoco y mas o menos 30 veces menor que la del Río Amazonas. La Mojana está ubicada en una depresión tectónica llamada la Depresión Momposina (Restrepo et al 2005). Estudios de Restrepo y colaboradores (2005, pg 69) encontraron que la retención de sedimentos en esta depresión es alrededor de 14% de total de sedimentos que transporta el agua.

Fig2
Fig 2. Cantidad de sedimientos por cuencas de algunos ríos  América del sur (Normalized sediment yield for the river basins was estimated by dividing sediment load (ton yr-­‐1) by drainage areas (Km2). (Restrepo et al, 2006a).

Debido a diferentes causas, como son prácticas de pesca no sostenibles (Trasmallos, Dinamita, etc), pérdida de hábitat y una alta polución en el agua (por sedimentos y químicos), la captura de peces a disminuido drásticamente (Galvis & Mojica, 2007; Marrugo-Negrete et al, 2008). En 1974 la producción fue de 80.000 ton/año y en 1999 cayó a menos de 10.000 ton/año (Galvis & Mojica, 2007); la figura 3 muestra la línea de tendencia negativa. Estos valores muestran una tendencia de 8% de menos producción cada año. De continuar, en 2025 la producción será de 1.138 ton/año y en 2050 serán solamente 142 ton/año.

Como resultado de esta situación descrita arriba a principios del siglo XXI, 45% de la especies incluidas en el libro rojo de las especies de agua dulce amenazadas provienen de la cuenca del Magdalena: “dos de ellos, las más importantes para los pescadores, están en categorías de Amenaza Crítica (Prochilodus magdalenae y Pseudoplatystoma fasciatum), tres en Amenaza (Ageneiosus pardalis, Ichthyoelephas longirostris y Sorubim cuspicaudus), ocho son Vulnerables y seis están clasificadas como Casi Amenazado” (Mojica, 2002 in Galvis & Mojica, 2007).

Fig3
Fig 3. Tendencia de capturas de peces en los últimos treinta años. (Galvis
and Mojica, 2007).

El Gobierno Nacional ha expresado que la Mojana es una región con un alto potencial de desarrollo económico (Martínez, 2012) principalmente por los sistemas agropecuarios y por su potencial de transporte fluvial. Este enfoque, el gobierno dice, atacará la situación de extrema pobreza que está teniendo lugar allá. Siete de cada diez hogares viven debajo de la línea de la pobreza (Action Against Hunger, 2008). El promedio en el Índice de Necesidades Básicas Insatisfechas es 2.5 veces menor que el promedio nacional (DNP, 2011).

Adicionalmente, en La Mojana hay varios actores involucrados con diferentes poderes e influencias sobre la toma de decisiones. Por un lado, hay actores que quieren mantener secos los espacios de inundación (campesinos con pequeñas tierras para producir cultivos de pancoger, los grandes terratenientes con ganado para carne y las compañías privadas que ven en el Magdalena una alternativa para transportar sus productos entre la costa caribe y el interior del País). Por el otro lado, otros actores piden que esta región se quede como está; los buscadores de oro que necesitan los sedimentos para encontrar oro; también las pocas ONGs con menos poder e influencia dicen que este ecosistema es importante para varias comunidades de peces así como para los Arrecifes de Coral en el Oceano Caribe, dado que la depresión retiene los sedimentos que tienen un impacto negativos en esos ecosistemas marinos (Restrepo et al, 2006b).

Esta complicada situación ha resultado de esta suma de factores. El enfoque desde arriba del Gobierno para un desarrollo netamente económico no está ayudando a que haya un desarrollo sostenible de la región. En la actualidad el manejo de esta área es una prioridad para el Gobierno por tres razones principalmente: primero el Gobierno quiere incrementar la producción agrícola y reducir las inundaciones; segundo volver navegable el Río (hasta el momento el nivel del agua en algunos lugares no es propicio para tal fin); y tercer el Gobierno desea preservar la fauna y flora de la región.

Para alcanzar estas metas pareciera que la estrategia del Gobierno consiste en canalizar esta parte del río con Diques, creando terrazas con sistemas de drenaje para los campesinos y mantener el flujo de agua controlado entre el río, las planicies inundables y los humedales. El proyecto está en etapa de factibilidad. La Universidad Nacional esta tratando de hacer unas recomendaciones (DNP-UN, 2012) y el Gobierno de los Países Bajos empezó una alianza con Colombia para asesorar desde sus propias experiencias. Lo que no es muy claro es el manejo que se le va a dar a las especies de peces y el trabajo social en la región, con el fin de lograr un manejo más integrado.

algunos ejemplos de cómo tener unas inundaciones controladas: https://royalsocietypublishing.org/doi/full/10.1098/rspa.2016.0706

In English: Mojana_Situation

Referencias:

Action Against Hunger. 2008. Responding to massive floods in La Mojana, Colombia. http://reliefweb.int/report/colombia/responding-massive-floods-la-mojana-colombia [última visita Diciembre 16, 2012]
Aguilera, M. M. 2004. La Mojana: riqueza natural y potencial económico. Centro de estudios Económicos del Banco de la República. ISSN 1692 -3715, Cartagena, Colombia.
Bölscher, T. van Slobbe, E., van Vliet, M T.H., Werners, S. .Adaptation turning points in river restoration? The Rhine salmon case. Sustainability 2012, 4, 1-x manuscripts. Under publication.
DNP-UN. 2012. Estudios, análisis y recomendaciones para el ordenamiento ambiental y el desarrollo territorial de La Mojana. CONVENIO INTERADMINISTRATIVO UN-DNP NO. 336/2011, Bogotá.
DNP. 2011. Recuperación y aprovechamiento sostenible del ecosistema estratégico de La Mojana para el desarrollo regional y nacional. [Última visita Diciembre 10, 2012] http://www.dnp.gov.co/LinkClick.aspx?fileticket=Q_OtYxMAPFs%3D&tabid=1364
Galvis, G. and Mojica, J. I. 2007: The Magdalena River fresh water fishes and fisheries, Aquatic Ecosystem Health & Management, 10:2, 127-139.
Jiménez-Segura L.F., Palacio, J., Leite R. 2010. River flooding and reproduction of migratory fish species in the Magdalena River basin, Colombia. Ecology of Freshwater Fish. 19: 178–186.
Kwadijk, Jaap C. J., Haasnoot, Marjolijn, Mulder, Jan P. M., Hoogvliet, Marco M. C., Jeuken, Ad B. M., van der Krogt, Rob A. A., van Oostrom, Niels G. C., Schelfhout, Harry A., van Velzen, Emiel H., van Waveren, Harold, de Wit, Marcel J. M. 2010. Using adaptation tipping points to prepare for climate change and sea level rise: a case study in the Netherlands. Wiley Interdisciplinary Reviews: Climate Change. 1:5, 729–740.
Marrugo-Negrete, J., Benitez, L.N., Olivero-Verbel, J. 2008. Distribution of Mercury in Several Environmental Compartments in an Aquatic Ecosystem Impacted by Gold Mining in Northern Colombia. Archives of Environmental Contamination and Toxicology. 55:2, 305-316.
Martínez C. 2012. La Mojana: drama y esperanza de zona con historias de inundaciones. El tiempo (National newspaper). Available on line [Última visita Diciembre 10, 2012] http://www.eltiempo.com/colombia/caribe/ARTICULO-WEB-NEW_NOTA_INTERIOR-12062465.html
Molle, F. 2008. Nirvana concepts, narratives and policy models: Insight from the water sector. Water Alternatives 1(1): 131‐156.
Ortiz, 2005. El conflicto ambiental en La Mojana. Economic and policy analysis of local governance in Latin America. A partership between the University of Massachusetts and Pontificia Universidad Javeriana, Bogotá. (on line) [Última visita Diciembre 17, 2012]. http://www.umass.edu/resec/colombia/papers/The%20environmental%20conflict%20in%20la%20Mojana%20Cesar%20Ortiz.pdf.
Porras, O. A. 2011. Recuperación y aprovechamiento sostenible del ecosistema estratégico de la mojana para el desarrollo regional y nacional [Última visita Diciembre 10, 2012] http://www.dnp.gov.co/LinkClick.aspx?fileticket=Q_OtYxMAPFs%3D&tabid=1364.
Restrepo, J.C., Miranda, J., Restrepo J.D. 2005. Chapter 2: El río Magdalena: Contexto global, Suramericano y Nacional. In: Los Sedimentos Del Río Magdalena: Reflejo de la Crisis Ambiental. Ed. Restrepo, J.C.. EAFIT University. Medellín, Colombia.
Restrepo, J.D., Kjerfve, B., Hermelin, M, Restrepo J. D. 2006a. Factors controlling sediment yield in a major South American drainage basin: the Magdalena River, Colombia. Journal of Hydrology 316. 213–232.
Restrepo, J.D., Zapata, P., Días, J.M., Garzón, J., García, C. 2006b. Fluvial fluxes into the Caribbean Sea and their impact on coastal ecosystems: The Magdalena River, Colombia. Global and Planetary Change. 50, 33– 49.
Ruiz, J. F. 2007. Escenarios de cambio climático, algunos modelos y resultados de lluvia para Colombia bajo el escenario A1B. Instituto De Hidrología, Meteorología Y Estudios Ambientales – IDEAM. Subdirección De Meteorología. Nota técnica del IDEAM. Bogotá, D. C.,
Vega, L. 2012. Urge planificación sostenible de La. Un periodico [Última visita Diciembre 10, 2012] http://www.unperiodico.unal.edu.co/dper/article/urge-planificacion-sostenible-de-la-mojana.html.